Noms de la molécule de la question N°1:
Noms de la molécule de la question N°2:
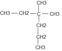
Noms de la molécule de la question N°4:
10ème Année - Collège
Conçu par Magoé Technologie. Tout droit réservé
0 commentaires
Votre impression compte aussi