Le trajet d’un faisceau de lumière renvoyé par la mer pénètre dans l’oeil selon le schéma suivant :
1-1) Donner la nature de la lentille représentée ci-dessus.
1-2) Citer un autre type de lentille et donner son schéma de représentation.
1-3) Donner deux méthodes permettant de distinguer les deux types de lentilles.
2-1) Le schéma précédent est réalisé à l’échelle 2. La valeur de la distance focale de la lentille est 2cm.
2-1-1) Faire apparaître cette distance focale sur le schéma.
2-1-2) Retrouver à l’aide de l’échelle du schéma, cette valeur.
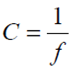
2-2) On donne la relation : 
2-2-1) Nommer chacune des grandeurs utilisées dans la relation.
2-2-2) Donner le nom et le symbole des unités de ces grandeurs.
2-2-3) Faire le calcul de C et choisir parmi les valeurs suivantes : +50δ ; + 0,5δ ; -50δ celle qui correspond à la lentille précédente.
0 commentaires
Votre impression compte aussi